NH4+/H+因其水合粒径小、质量轻、反应动力学快等优点,被视为新型水系锌-有机电池的理想电荷载体,但需设计与之匹配的正极材料以充分释放其潜力。羰基/亚胺基小分子以其优越的氧化还原活性和阳离子配位敏感性而备受关注,但面临活性位点利用率不足、电子电导率低和易溶于电解液等问题,导致电极容量衰减和循环寿命降低。

公司刘明贤教授、甘礼华教授团队长期致力于高效储能材料研究并应用于新能源电池开发,课题组近期设计了一种高密度羰基/亚胺共轭纳米纤维正极材料,充分暴露的活性位点和坚固的共轭平面网络结构,提供了超低反应能垒和连续的电子离域路线,实现了卓越的NH4+/H+共存储。相关成果以“Conjugated Nanofibrous Organic Cathodes with High-Density Carbonyl/Imine Redox-Sites for Superior NH4+/H+ Co-Storage”为题发表于国际材料领域知名期刊《材料视野》(Materials Horizons)。

实验表征和理论计算表明:电子属性互补的苯-1, 3, 5-三甲醛和2, 6-二氨基蒽醌通过聚合和π-π平面堆叠形成共轭纳米纤维聚合物,其展示出高密度羰基/亚胺活性位点、低能带间隙和强抗溶解性,有助于加快电子转移动力学和电极氧化还原速率。

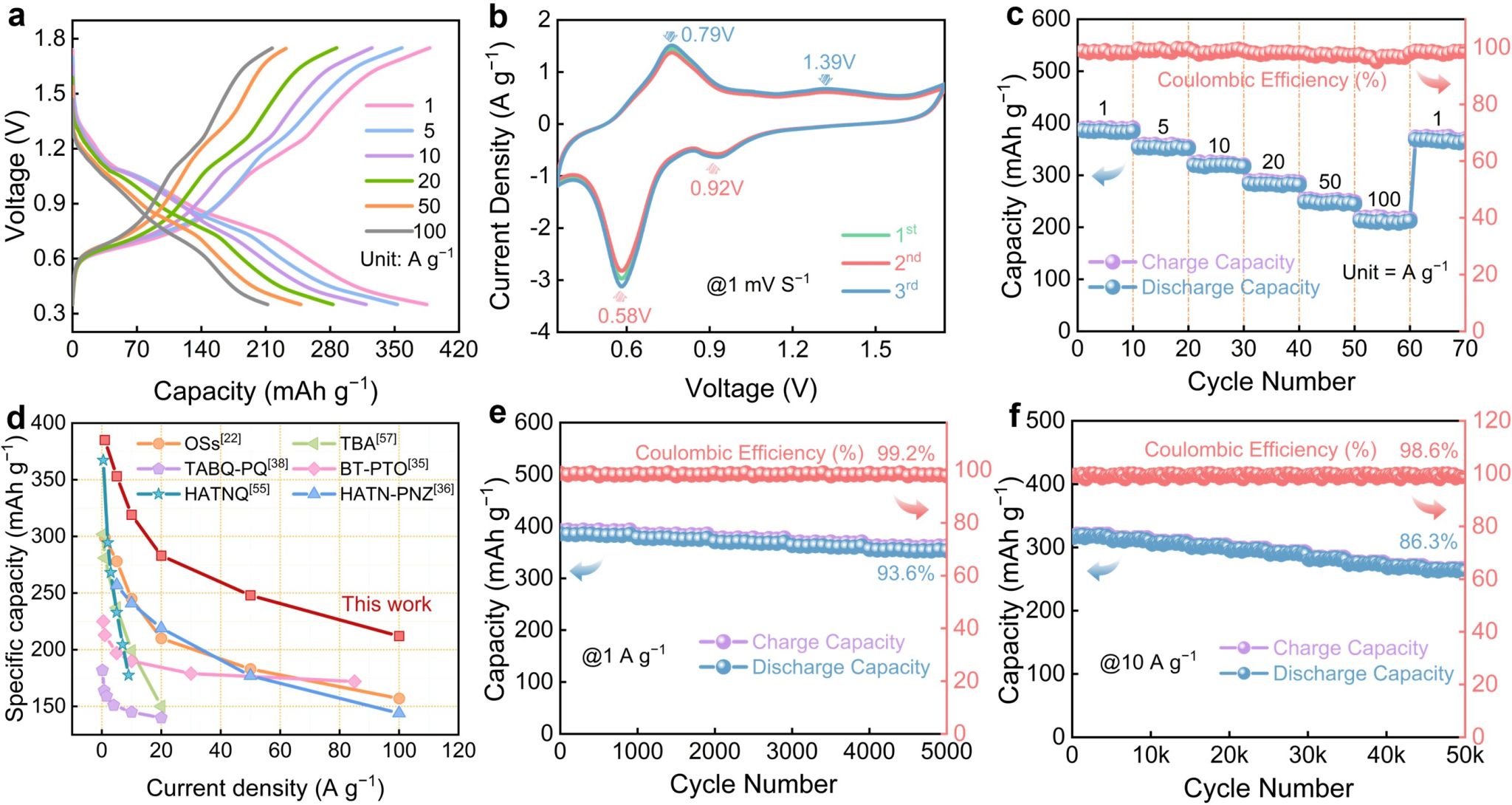
电化学研究表明:共轭纳米纤维聚合物用于水系锌-有机电池正极材料时,表现出高比容量(385 mAh g−1@1 A g−1)、高倍率性能(212 mAh g−1@100 A g−1)和卓越循环寿命(50,000次充放电后容量保持率为86.3%)。

异位光谱研究表明:坚固的共轭平面网络聚合物结构能有效抑制活性官能团溶解,充分暴露羰基/亚胺电活性中心,引发高度可逆的氧化还原反应。

分子动力学模拟研究表明:得益于低活化能(0.15 vs. 0.37 eV),羰基/亚胺活性位点能够通过两步五电子氧化还原反应与高动力学的NH4+/H+优先配位,从而克服Zn2+因高去溶剂化能垒而导致的缓慢界面电荷转移,实现了稳定快速的能量存储。

理论计算验证了共轭纳米纤维聚合物中羰基/亚胺位点与NH4+/H+存在强相互作用,形成了稳定的非金属配体构型,显著提高了NH4+/H+存储能力。这项工作拓展了高密度活性位点共轭有机物的设计策略以提升非金属离子储存性能,助力先进锌-有机电池的开发。
硕士生付宇佳为论文第一作者,张叶慧博士后,甘礼华教授和刘明贤教授为论文共同通讯作者。上述研究工作得到了国家自然科学基金委、上海市科委和中国博士后科学基金会资助。