水系锌离子电池因其安全环保、锌资源丰富和理论容量高等优点受到广泛关注。钒基材料因多价态反应,晶体结构多样性,理论容量高和成本效益等优势成为锌离子电池理想的正极材料之一,但面临着氧化还原动力学缓慢和钒溶解的问题,导致电池性能快速衰减和失效。因此,合理设计钒基正极材料结构,提高其反应动力学和稳定性,对于提高锌离子电池的性能至关重要。

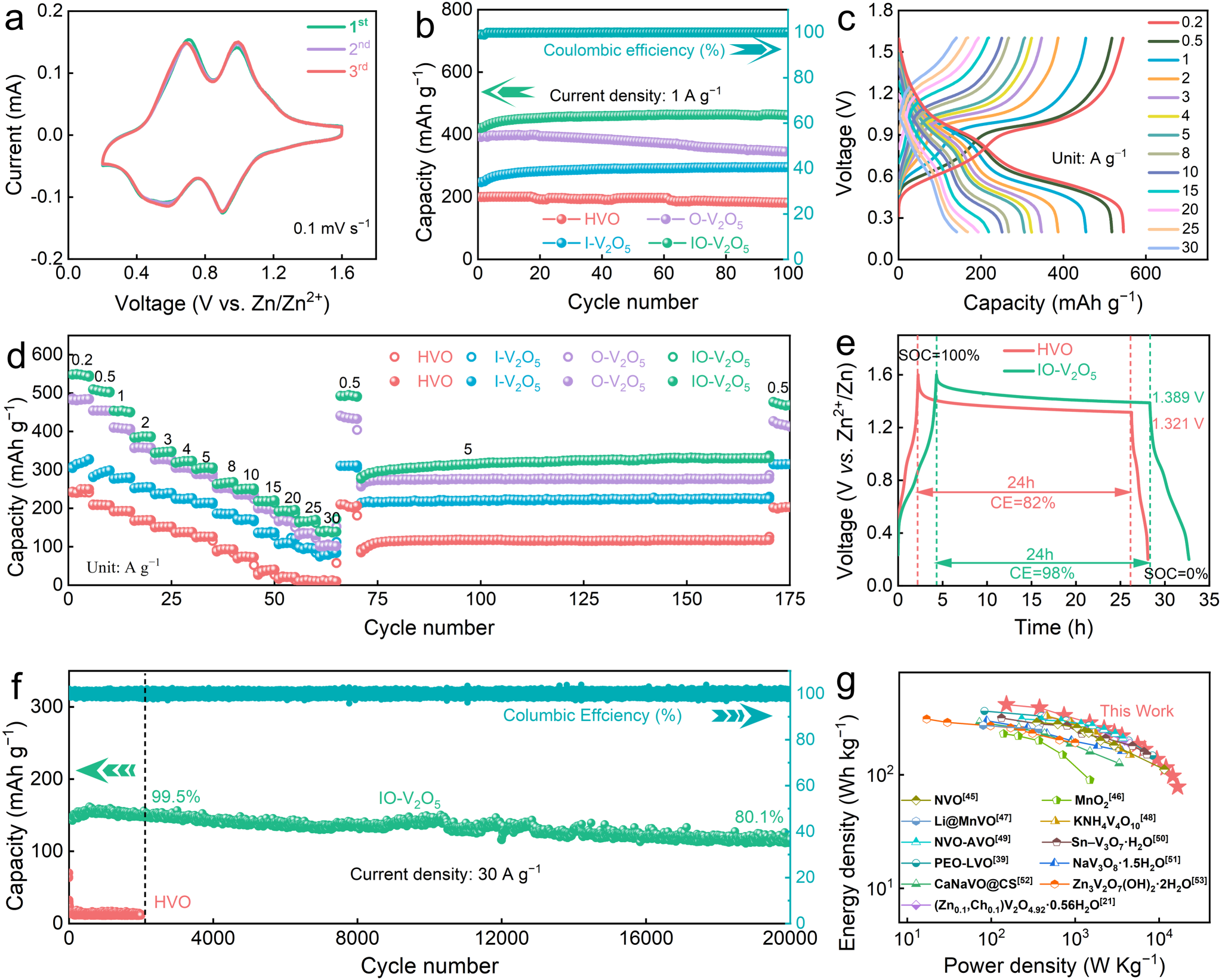
公司刘明贤教授、甘礼华教授团队长期致力于高效储能材料研究并应用于新能源电池开发,课题组近期设计了无机(Al3+)-有机(甜菜碱)共插层的V2O5正极材料[Al0.16(C5H14ON)0.12]V2O5·0.39H2O(IO-V2O5),其中Al3+和甜菜碱创建了快速Zn2+传输通道,甜菜碱中季铵基团与V2O5晶格氧结合稳定了层状结构,羧酸基团削弱了Zn2+/V−O相互作用,显著提高了Zn2+的扩散动力学(10−8~10−7 cm2 s−1)和存储稳定性(20,000次循环后容量保持率为80.1%)。相关成果以“Inorganic-Organic Co-intercalated [Al0.16(C5H14ON)0.12]V2O5·0.39H2O Cathode for High-Performance Aqueous Zinc-Ion Batteries”为题在线发表于国际化学/材料领域著名期刊《先进功能材料》(Advanced Functional Materials)。

实验表征表明,Al3+插入将V2O5层间距拓展至13.7 Å,暴露出更多的氧化还原位点;甜菜碱中带正电的季铵基团与V2O5晶格氧结合提高了层间稳定性,带负电荷的羧酸基团削弱了Zn2+/V−O相互作用,有助于提高Zn2+扩散动力学和稳定性。

电化学研究表明,Zn||IO-V2O5电池表现出高比容量(549.5 mAh g−1@0.2 A g−1)、长循环寿命(20,000次循环后容量保持率为80.1%)和优异的能量密度(416.3 Wh kg−1)。

动力学分析表明,IO-V2O5正极实现了高Zn2+扩散系数(10−8~10−7),表明Al3+和甜菜碱协同作用有效削弱了Zn2+和V−O键之间的静电相互作用,提高了其反应动力学。

异位光谱研究表明,由于Al3+和甜菜碱的协同作用,IO-V2O5正极展现出高度可逆的Zn2+/H+存储过程。这项研究工作为设计用于先进水系锌离子电池的无机-有机共插钒基正极材料提供了新思路。
博士生郭康为论文第一作者,宋子洋博士后,甘礼华教授和刘明贤教授为论文共同通讯作者。研究工作得到了国家自然科学基金委、上海市科委和中国博士后科学基金会资助。
论文链接:https://advanced.onlinelibrary.wiley.com/doi/10.1002/adfm.202506036